
Kenton City Council is scheduled to meet this evening.
On the agenda, Judge Andrew Tudor will present the annual report to council members.
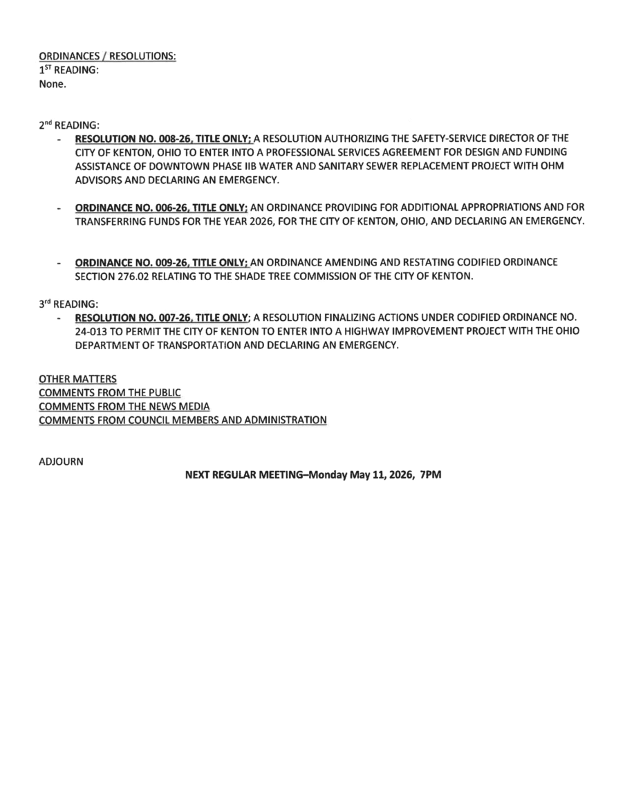
A resolution finalizing actions to permit the city to enter into a Highway Improvement Project with the Ohio Department of Transportation is on third and final reading.
A resolution authorizing the safety-service director to enter into a professional services agreement for design and funding assistance of the Downtown Phase II B Water and Sanitary Sewer Project with OHM Advisors is on second reading.
The 8th Regular Session of the year will start at 7:00 this evening in the Kenton City Building.
The agenda for tonight’s meeting can be found below.


Written by: bclark
WKTN is a locally owned and operated radio station broadcasting from Kenton, Ohio since 1963.
Our broadcast covers Hardin County and into Allen, Auglaize, Hancock, Logan, Marion, Union, and Wyandot Counties including a majority of communities within.
Copyright WKTN.com - | Public File | FCC Applications | ADMIN | 112 N. Detroit Street, Kenton, OH 43326 | 419-675-2355