
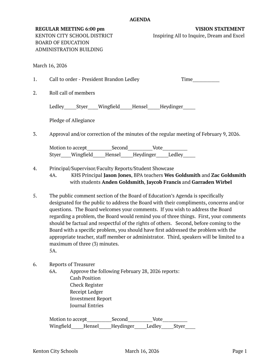
The Kenton City Schools Board of Education will hold its regular meeting this evening at 6:00 p.m. at the administration building.
During the meeting, Kenton High School Principal Jason Jones and BPA advisors Wes Goldsmith and Zac Goldsmith will recognize Business Professionals of America students Anden Goldsmith, Jaycob Francis, and Garraden Wirbel.
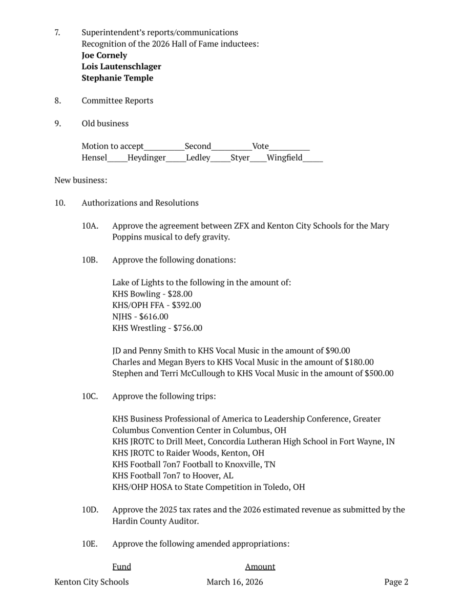
The board will also recognize the 2026 Hall of Fame inductees: Joe Cornely, Lois Lautenschlager, and Stephanie Temple.
Board members will consider several items on the agenda, including approval of financial reports, student trips, donations to school organizations, and other personnel items. The board will also review quotes from Field Source for work on the soccer, baseball, and football fields at a cost not to exceed $1,450,000.
The agenda also includes an item to approve Brett Purcell to move from Athletic Director to Operations and Facilities Manager beginning in the 2026–2027 school year for Kenton City Schools.
The next regular meeting is scheduled for April 20 at 6:00 p.m.
The full agenda for tonight’s meeting can be found below.





Written by: bclark
WKTN is a locally owned and operated radio station broadcasting from Kenton, Ohio since 1963.
Our broadcast covers Hardin County and into Allen, Auglaize, Hancock, Logan, Marion, Union, and Wyandot Counties including a majority of communities within.
Copyright WKTN.com - | Public File | FCC Applications | ADMIN | 112 N. Detroit Street, Kenton, OH 43326 | 419-675-2355